产品列表
联系我们
销售热线:0632-5113088
外贸电话:0632-5113066
公司传真:0632-5113155
地址:山东省枣庄市市中区水处理剂产业园(十里泉东路1号)
E-mail:th@thwater.com
外贸电话:0632-5113066
公司传真:0632-5113155
地址:山东省枣庄市市中区水处理剂产业园(十里泉东路1号)
E-mail:th@thwater.com
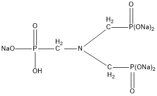
氨基三甲叉膦酸五钠 ATMP•Na5Penta sodium salt of Amino Trimethylene Phosphonic Acid (ATMP•Na5) CAS No. 2235-43-0(5-Na) 20592-85-2 (x-Na) 别名:氨基三亚甲基膦酸五钠 分子式 C3H7NO9P3Na5 相对分子质量:409 结构式
一、性能与用途:ATMP•Na5是ATMP的钠盐溶液,可阻止水中成垢盐类形成水垢,特别是碳酸钙垢的形成。 ATMP•Na5用于锅炉水处理、油田回注水系统、工业和市政清洁水处理及冷却水处理的金属缓蚀。ATMP•Na5作为通用型低成本阻垢剂,对锌盐及磷酸盐有较好的缓蚀作用,螯合性能较好。 二、技术指标
三、使用方法ATMP•Na5与其它有机磷酸、聚羧酸或盐等复配成有机碱性水处理剂,用于各种不同水质条件下的循环冷却水系统。 四、包装与贮存ATMP•Na5用塑料桶包装,每桶30Kg 或250Kg,也可根据用户需要确定。贮于室内阴凉处,贮存期十二个月。 五、安全防护ATMP•Na5为弱碱性,操作时注意劳动保护,应避免与皮肤、眼睛等接触,接触后用大量清水冲洗。 |
|||||||||||||||||
|
|||||||||||||||||
| 关键字: 氨基三甲叉膦酸五钠 ATMP•Na5,氨基三亚甲基膦酸钠 ATMP•Na5,有机膦酸盐 |

