产品列表
联系我们
销售热线:0632-5113088
外贸电话:0632-5113066
公司传真:0632-5113155
地址:山东省枣庄市市中区水处理剂产业园(十里泉东路1号)
E-mail:th@thwater.com
外贸电话:0632-5113066
公司传真:0632-5113155
地址:山东省枣庄市市中区水处理剂产业园(十里泉东路1号)
E-mail:th@thwater.com
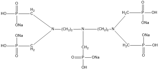
二乙烯三胺五甲叉膦酸五钠 DTPMP•Na5
Diethylene Triamine Penta (Methylene Phosphonic Acid) Pentasodium salt
CAS No. 68155-78-2
分子式 C9H23O15N3P5Na5 相对分子质量:683.2
结构式
一、性能与用途
DTPMP•Na5是一种中性产品,DTPMP•Na5无毒,在水处理中用作循环冷却水和锅炉水的阻垢缓蚀剂。
DTPMP•Na5可用做过氧化物稳定剂、纺织印染用螯合剂、颜料的分散剂、化肥中微量元素携带剂、混凝土添加剂。此外,在造纸、电镀和化妆品等方面也得到了广泛应用。
二、技术指标
| 项 目 | 指 标 |
| 外 观 | 琥珀色透明液体 |
| 活性组分(以DTPMPA计)/% | 24.0~26.0 |
| 活性组份(以DTPMP·Na5计)/% | 28.5~31.0 |
| 总磷(以PO43-计)/% | 19.7~21.7 |
| pH值(1%水溶液) | 6.0~8.0 |
| 密度(20℃)/g·cm-3 | ≥1.25 |
| 氯化物 (以Cl-计) /% | ≤5.0 |
| Fe含量(以Fe计) /mg·L-1 | ≤20.0 |
三、包装与贮存
DTPMP•Na5液体用料塑桶包装,每桶25kg或250kg,贮于室内阴凉干燥处,防潮,贮存期为十个月。
四、安全防护
DTPMP•Na5为中性,操作时注意劳动保护,应避免与皮肤、眼睛等接触,接触后用大量清水冲洗。
|
