产品列表
联系我们
销售热线:0632-5113088
外贸电话:0632-5113066
公司传真:0632-5113155
地址:山东省枣庄市市中区水处理剂产业园(十里泉东路1号)
E-mail:th@thwater.com
外贸电话:0632-5113066
公司传真:0632-5113155
地址:山东省枣庄市市中区水处理剂产业园(十里泉东路1号)
E-mail:th@thwater.com
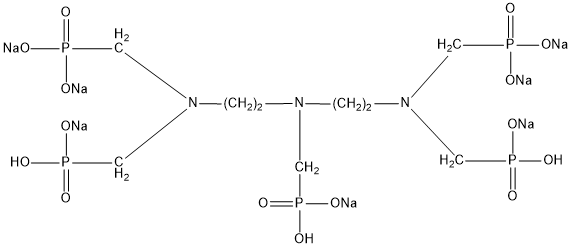
二乙烯三胺五甲叉膦酸七钠 DTPMP•Na7sodium salt of hylene Triamine Penta (Methylene Phosphonic Acid) (DTPMP•Na7) CAS No.:68155-78-2 (7-Na) 22042-96-2 (x-Na) 分子式 C9H21O15N3P5Na7 相对分子质量:727 结构式
一、性能与用途DTPMP•Na7可用作阻垢剂、高效螯合剂、优良的BaSO4阻垢剂,DTPMP•Na7广泛用于冷却水处理、过氧化物漂白的稳定剂、洗涤助剂、市政工业清洁用水、地热水处理、油田阻垢。 二、技术指标
三、包装与贮存DTPMP•Na7用塑料桶包装,每桶25Kg 或250Kg,也可根据用户需要确定。贮于室内阴凉处,贮存期十个月。 四、安全防护DTPMP•Na7为中性,操作时注意劳动保护,应避免与皮肤、眼睛等接触,接触后用大量清水冲洗。 |
|||||||||||||||||||||||||||||
|
|||||||||||||||||||||||||||||
| 关键字: 二乙烯三胺五甲叉膦酸七钠 DTPMP•Na7,二乙烯三胺五亚甲基膦酸七钠 DTPMP•Na7,有机膦酸盐 | |||||||||||||||||||||||||||||
